在全球能源资源消耗激增的背景下,为提高能源利用率,汽车内燃机工业得到快速发展,但是其排放尾气中相对含量较高的CO、NOx等对大气环境造成了严重破坏。针对日益严峻的环境问题,在政策方面,国家于2019年推出了严格的“国六排放标准”,在尾气净化技术层面,鉴于较低的引擎排气温度,仍需提高传统三元催化剂的低温活性(<150°C),以面对未来较为严峻的环境问题及严格的尾气排放法规。

图1 我国空气污染物现状
目前而言,CO催化氧化是消除CO污染物的有效方式。作为汽车尾气处理系统中最为重要的机外净化装置,三元催化器中的三元催化剂(TWCs)可以将尾气中的CO、HC及NOx等气体通过氧化还原反应转化为无害的CO2、H2O及N2。目前汽车所用的催化剂主要以Al2O3为载体喷涂Pt、Rh、Pd贵金属并添加稀土金属氧化物作为助剂,主要存在问题有高温环境下贵金属发生不可逆化学反应和烧结现象导致催化剂失活,以及在低温环境下催化效率较低。
相比较于传统三元催化剂以及单体催化剂,负载型催化剂其表面负载颗粒尺寸小、原子暴露率高、表面原子配位不完全等结构特点使得界面处存在丰富的活性位点,同时构建的多重界面亦成为了气体吸附位点与催化反应位点,在汽车尾气净化领域表现出明显的优势。
其中,单原子催化剂,作为一种特殊的负载型催化剂,具有原子利用率高、活性位点均匀、配位环境可调等优点。但是目前工业化应用中,由于单原子催化剂较高的表面自由能,金属单原子易动态聚集形成团簇或纳米颗粒。这不仅减少了表面活性位点,而且促使积碳等副反应的发生,加速了催化剂失活。最终,烧结、积碳、催化剂频繁再生等造成的高能耗与高排放问题严重制约了单原子催化剂的产业化应用。

图2 (a) 粒子尺寸大小与表面自由能关系;(b) 催化剂团聚示意图
针对上述问题,我们提出利用金属有机框架材料(MOFs)作为载体,借助其孔隙率高、密度低、比表面积大、孔道规则、孔径可调、拓扑结构多样性和可裁剪性等优点调节控制MOx的尺寸大小、分散度。如图3所示,在向铈基MOFs材料上负载贵金属钯之后,为了进一步提高催化剂的高温稳定性,我们浇铸了硅,在高温热处理中原位形成了二氧化硅封装支撑的单原子钯催化剂(Pd/CeO2)。我们对该催化剂在700°C进行了10 h的高温煅烧,如图3 (b-d)所示,钯在催化剂中能够保持高度分散的状态,证实了单原子钯催化剂的高温稳定性。

图3 (a) 合成示意图;(b, c) 单原子钯催化剂结构图;(d) 元素分布图
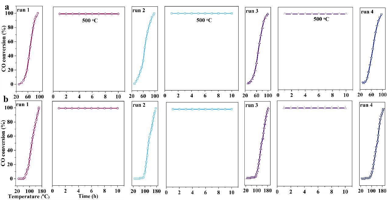
在CO催化氧化测试中,如图4 (a)所示,单原子钯催化剂在100°C处达到了CO完全转化,同对比于团簇类钯催化剂,表现出优异的低温催化性能,这有利于去除汽车在冷启动阶段由于温度低、燃烧不充分形成的大量CO。此外,在汽车平稳运行阶段,催化剂的工作温度常常在200-500°C。鉴于此,我们对催化剂完成CO完全转化后,立刻将温度升至500°C进行了为期10 h的稳定性测试,在测试完毕自然冷却至室温后,重复进行上述步骤。结果表明,单原子钯催化剂在经历了三个完整循环以及30 h的稳定性测试后,仍然表现出优异的低温催化活性(CO完全转化温度维持在100°C)。此外,相比较于传统的三元催化剂,单原子钯催化剂的另一个优势在于贵金属钯用量少,这大大减少了生产成本,达到了“减量不减效果”的目的。

图4 CO催化氧化测试:(a) 单原子钯催化剂;(b) 团簇类钯催化剂
来源:化学化工学院